Попробуйте ГДЗ по фото

ГДЗ по математике 3 класс Моро часть 2 - ответ страница 73

Математика 3 класс Моро
Математика 3 класс Моро

Авторы:

Серия: Школа России

Тип книги: Учебник

Год: 2015-2025

Часть: 1, 2

Рекомендуем посмотреть

Подробное решение часть 2, страница № 73 по математике для учащихся 3 класса Школа России , авторов Моро, Бантова, Бельтюкова 2015-2025

часть 2, страница / 73

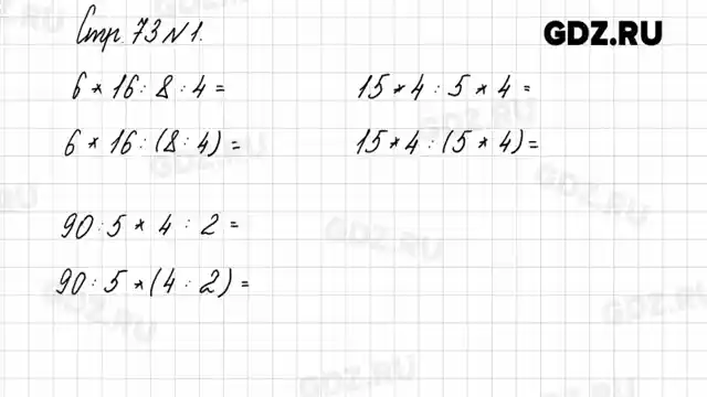
1. 6·16 : 8 : 4
6 ·16 : (8 : 4)  
90 : 5 · 4 : 2 
90 : 5 · (4 : 2)  
15 · 4 : 5 · 4   
15 · 4 : (5 ·4)

2.  На  двух  буровых  станциях  работали  127  человек.  После  подключения  двух  роботов,  по  одному на  каждой,  на  одной  буровой  число  сотрудников уменьшилось  на  22  человека,  а  на  другой  — на  18  человек.  Сколько  сотрудников  работает теперь  на  этих  буровых?  Сколько  сотрудников работает  на  каждой  буровой,  если  на  одной  из них  число  сотрудников  в  2  раза  меньше,  чем на  другой?

3.  Вычисли  и  выполни  проверку.
423 - 148  
351 - 284  
630 - 347  
186 - 93

4.  3  м  5  см □ 5  м  3  см 
870  см □ 10  м
4  м  □  398  см  
60  см  □  550  мм

Решебник 2023 / часть 2, страница / 73
ГДЗ по математике 3 класс Моро часть 2 - ответ страница 73, Решебник 2023
Сообщить об ошибке
ГДЗ по фото
ГДЗ по математике 3 класс Моро часть 2 - ответ страница 73, Решебник 2023
Сообщить об ошибке
ГДЗ по фото
Решебник №1 2015 / часть 2, страница / 73
ГДЗ по математике 3 класс Моро часть 2 - ответ страница 73, Решебник №1 2015
Сообщить об ошибке
ГДЗ по фото
Видеорешение 2015 / часть 2, страница / 73
Плееры:

Расскажите об ошибке

ГДЗ по математике 3 класс Моро часть 2 - ответ страница 73
Сообщение должно содержать от 10 до 250 символов
Спасибо! Ваше сообщение успешно отправлено!