Персонаж ГДЗ — поиск ответов по фото

ГДЗ по математике 4 класс Моро часть 1 - ответ страница 62

ГДЗ Математика 4 класс  М.И. Моро 2015-2025 — готовые ответы и решения

Авторы:

Серия: Школа России

Тип книги: Учебник

Год: 2015-2025

Часть: 1, 2

Рекомендуем посмотреть

Подробное решение часть 1. страница № 62 по математике для учащихся 4 класса Школа России , авторов Моро, Бантова, Бельтюкова 2015-2025

часть 1. страница / 62

280. Прочитай на странице 103, как связаны между со­бой числа при сложении, и заполни таблицу.
Слагаемое 3 62 □ □ □ 107
Слагаемое □ □ 24 179 75 □
Сумма 7 82 76 964 523 8192

281. Реши уравнения.
64 + х = 92
х + 78 = 97 + 3

282. Сумма неизвестного числа и числа 390 равна произведению чисел 70 и 6. Найди это число.
Составь уравнение и найди неизвестное число.

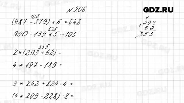
283. Вычисли и сделай проверку.
234006 - 18769
800304 - 62836
732638 + 7567 + 40210
692503 + 307498 + 80321

284. Бригада укладчиков должна была уложить 100 км железной дороги за месяц. За первую декаду (10 дней) бригада уложила 30 км пути, за вторую декаду — 36 км.
Объясни, что обозначает каждое выражение.
100 - 30, 30 + 36, 36 - 30, 100 - (30 + 36), 30 : 10

285.
2 м 04 см = □ см
3 дм 8 см = □ мм
5 м2 = □ см2
4 км2 = □ м2

286. Как можно, не изменяя чисел, сделать равенства верными? Выполни это
1 000 - 990 : 10 - 1
960 : 2 + 6 = 120

Задание внизу страницы:
3 км 080 м = □ м
3 ц 80 кг = □ кг

Решебник 2023 / часть 1. страница / 62
ГДЗ по математике 4 класс Моро часть 1 - ответ страница 62, Решебник 2023
ГДЗ по фото
ГДЗ по математике 4 класс Моро часть 1 - ответ страница 62, Решебник 2023
ГДЗ по фото
Решебник 2015 №1 / часть 1. страница / 62
ГДЗ по математике 4 класс Моро часть 1 - ответ страница 62, Решебник 2015 №1
ГДЗ по фото
ГДЗ по математике 4 класс Моро часть 1 - ответ страница 62, Решебник 2015 №1
ГДЗ по фото
Видеорешение 2015 / часть 1. страница / 62
Плееры:
Решебник 2015 №3 / часть 1. страница / 62
ГДЗ по математике 4 класс Моро часть 1 - ответ страница 62, Решебник 2015 №3
ГДЗ по фото
ГДЗ по математике 4 класс Моро часть 1 - ответ страница 62, Решебник 2015 №3
ГДЗ по фото
ГДЗ по математике 4 класс Моро часть 1 - ответ страница 62, Решебник 2015 №3
ГДЗ по фото

Расскажите об ошибке

ГДЗ по математике 4 класс Моро часть 1 - ответ страница 62
Сообщение должно содержать от 10 до 250 символов
Спасибо! Ваше сообщение успешно отправлено!