Персонаж ГДЗ — поиск ответов по фото

ГДЗ по математике 3 класс Моро часть 1 - ответ страница 5

ГДЗ Математика 3 класс  М.И. Моро 2015-2026 — готовые ответы и решения

Авторы:

Серия: Школа России

Тип книги: Учебник

Год: 2015-2026

Часть: 1, 2

Рекомендуем посмотреть

Подробное решение часть 1, страница № 5 по математике для учащихся 3 класса Школа России , авторов Моро, Бантова, Бельтюкова 2015-2026

часть 1, страница / 5

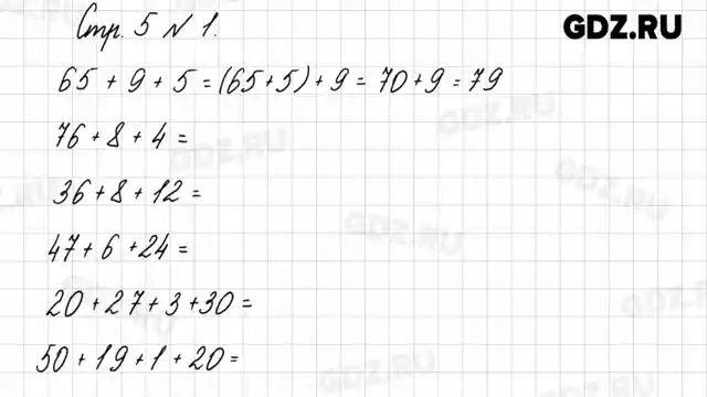
1. Вычисли.
65 + 9 + 5
76 + 8 + 4
36 + 8 + 12
47 + 6 + 24
20 + 27 + 3 + 30
50 + 19 + 1 + 20

2. Реши с устным объяснением.
43 + 12 =
57 + 23 =
24 + 67 =
35 - 21 =
95 - 65 =
3. Из чисел 8, 5, 6, 2 составь и запиши две сум­мы так, чтобы значение одной суммы было в 2 раза меньше значения другой.

4. Длина дорожки от дома до беседки 18 м, а от беседки до парника в 2 раза короче. Сколько метров от дома до парника?

5. На каникулах Ваня был в спортивном лагере 3 недели, а в деревне у бабушки на 1 неделю больше, чем в лагере. Сколько всего недель Ваня был в спортивном лагере и в деревне?

6. Составь верные равенства и неравенства, исполь­зуя выражения.
18 + 2
34 - 14
56 - 50
70 - 50

7.
1 см 6 мм О 16 мм
3 дм 8 см О 40 см
8 дм О 79 см
2 м 1 дм О 1 м 2 дм

8. Начерти ломаную из трех звеньев так, чтобы длина каждого звена была равна 6 см. Узнай длину ломаной.

9. Какие фигуры изображены на чертеже? На какиедве группы их можно разбить? Сколько способов выполнить это задание тебе удалось найти?

10. Красная лента короче синей, а синяя лента ко­роче белой. Какая лента самая длинная?

Задание внизу страницы:
Вычисли, записывая решение столбиком.
28+ 16
35 + 47
42 - 25
80 - 39

Решебник 2023 / часть 1, страница / 5
ГДЗ по математике 3 класс Моро часть 1 - ответ страница 5, Решебник 2023
ГДЗ по фото
ГДЗ по математике 3 класс Моро часть 1 - ответ страница 5, Решебник 2023
ГДЗ по фото
Решебник 2015 №1 / часть 1, страница / 5
ГДЗ по математике 3 класс Моро часть 1 - ответ страница 5, Решебник 2015 №1
ГДЗ по фото
ГДЗ по математике 3 класс Моро часть 1 - ответ страница 5, Решебник 2015 №1
ГДЗ по фото
Видеорешение 2015 / часть 1, страница / 5
Плееры:

Расскажите об ошибке

ГДЗ по математике 3 класс Моро часть 1 - ответ страница 5
Сообщение должно содержать от 10 до 250 символов
Спасибо! Ваше сообщение успешно отправлено!