Персонаж ГДЗ — поиск ответов по фото

ГДЗ по математике 3 класс Моро часть 1 - ответ страница 64

ГДЗ Математика 3 класс  М.И. Моро 2015-2026 — готовые ответы и решения

Авторы:

Серия: Школа России

Тип книги: Учебник

Год: 2015-2026

Часть: 1, 2

Рекомендуем посмотреть

Подробное решение часть 1, страница № 64 по математике для учащихся 3 класса Школа России , авторов Моро, Бантова, Бельтюкова 2015-2026

часть 1, страница / 64

4. Из 12 м ткани портной сшил 6 одинаковых дет­ских костюмов. Сколько метров ткани потребу­ется на 10 таких костюмов? на 7 костюмов?

5. Для ремонта квартиры купили 4 банки краски, по 3 кг каждая. Сколько килограммов краски купили?
Составь две обратные задачи и реши их.

6. 9 • (38 — 30)
65 - (49 - 19)
28 + 45 : 5
8 • 7 + 5 • 6
9 • 9 - 28 : 7
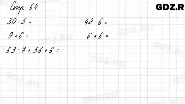
63 : 7 + 54 : 6
7 • (100 - 91)
6 • (75 -65)
7 + 36 : 4

7. Не изменяя в записях числа, дополни каждую запись так, чтобы получить верное равенство.
7 + 2 • 9 - 4 = 77
7 + 2 • 9 - 4 = 17
9 + 18 : 3 + 6 = 11
9 + 18 : 3 + 6 = 15

8. Коля, Дима и Саша собрали вместе 30 грибов. Дима нашёл в 2 раза больше грибов, чем Коля, а Коля — в 3 раза меньше, чем Саша. Сколько грибов нашёл каждый из них?
Сделай чертёж к задаче и реши её.

9. В альбоме для раскрашивания было 25 рисун­ков. В первый день Оля раскрасила несколько рисунков, во второй — на 3 рисунка больше, чем в первый. После этого 18 рисунков остались нераскрашенными. Сколько рисунков Оля рас­красила в первый день?

Задание внизу страницы:
Найди площадь листа картона квадратной фор­мы, длина стороны которого 7 дм.

Задание на полях:
*7 - 3* = 59
** + 57 = 84

Решебник 2023 / часть 1, страница / 64
ГДЗ по математике 3 класс Моро часть 1 - ответ страница 64, Решебник 2023
ГДЗ по фото
ГДЗ по математике 3 класс Моро часть 1 - ответ страница 64, Решебник 2023
ГДЗ по фото
Решебник 2015 №1 / часть 1, страница / 64
ГДЗ по математике 3 класс Моро часть 1 - ответ страница 64, Решебник 2015 №1
ГДЗ по фото
Видеорешение 2015 / часть 1, страница / 64
Плееры:

Расскажите об ошибке

ГДЗ по математике 3 класс Моро часть 1 - ответ страница 64
Сообщение должно содержать от 10 до 250 символов
Спасибо! Ваше сообщение успешно отправлено!