Персонаж ГДЗ — поиск ответов по фото

ГДЗ по математике 2 класс Моро часть 1 - ответ страница 40

ГДЗ Математика 2 класс  М.И. Моро 2015-2025 — готовые ответы и решения

Авторы:

Серия: Школа России

Тип книги: Учебник

Год: 2015-2025

Часть: 1, 2

Рекомендуем посмотреть

Подробное решение часть 1. страница № 40 по математике для учащихся 2 класса Школа России , авторов Моро, Бантова, Бельтюкова 2015-2025

часть 1. страница / 40

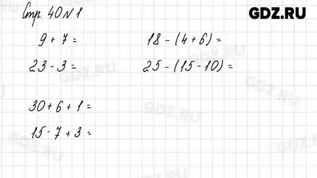
1. Прочитай записи.
9 + 7
23 - 3
30 + 6 + 1
15 - 7 + 3
18 - (4 + 6)
25 - (15 - 10)

2. Запиши выражения и найди их значения.
1) Из числа 16 вычесть разность чисел 9 и 7.
2) К числу 10 прибавить разность чисел 7 и 5.
3. Используя числа 10, 9, 1, знаки «+», «—» и скобки, составь различные выражения и найди их значения.

4. В мастерской было на ремонте 6 машин. Через день поставили на ремонт ещё 3 машины, а 2 машины вернули после ремонта.
Сколько машин стало в мастерской?
1) Выбери выражение, которое составлено по этой задаче, и реши задачу.
6-3+2
6+3+2
6+3-2
6-3-2
2) Изменяй условие задачи так, чтобы для решения подходили другие из написанных выражений. Реши новые задачи.

5. 12 мм О 1 см
9 см О 1 дм
56 мин О 1 ч
1 ч О 100 мин

6. В занимательных рамках сумма чисел, расположенных по каждой стороне фигуры, должна
быть равна числу в центре фигуры.

Решебник 2023 / часть 1. страница / 40
ГДЗ по математике 2 класс Моро часть 1 - ответ страница 40, Решебник 2023
ГДЗ по фото
Решебник 2015 №1 / часть 1. страница / 40
ГДЗ по математике 2 класс Моро часть 1 - ответ страница 40, Решебник 2015 №1
ГДЗ по фото
Видеорешение / часть 1. страница / 40
Плееры:
Решебник 2015 №3 / часть 1. страница / 40
ГДЗ по математике 2 класс Моро часть 1 - ответ страница 40, Решебник 2015 №3
ГДЗ по фото
Решебник 2015 №4 / часть 1. страница / 40
ГДЗ по математике 2 класс Моро часть 1 - ответ страница 40, Решебник 2015 №4
ГДЗ по фото
ГДЗ по математике 2 класс Моро часть 1 - ответ страница 40, Решебник 2015 №4
ГДЗ по фото
ГДЗ по математике 2 класс Моро часть 1 - ответ страница 40, Решебник 2015 №4
ГДЗ по фото
ГДЗ по математике 2 класс Моро часть 1 - ответ страница 40, Решебник 2015 №4
ГДЗ по фото

Расскажите об ошибке

ГДЗ по математике 2 класс Моро часть 1 - ответ страница 40
Сообщение должно содержать от 10 до 250 символов
Спасибо! Ваше сообщение успешно отправлено!