Персонаж ГДЗ — поиск ответов по фото

ГДЗ по математике 2 класс Моро часть 1 - ответ страница 38

ГДЗ Математика 2 класс  М.И. Моро 2015-2025 — готовые ответы и решения

Авторы:

Серия: Школа России

Тип книги: Учебник

Год: 2015-2025

Часть: 1, 2

Рекомендуем посмотреть

Подробное решение часть 1. страница № 38 по математике для учащихся 2 класса Школа России , авторов Моро, Бантова, Бельтюкова 2015-2025

часть 1. страница / 38

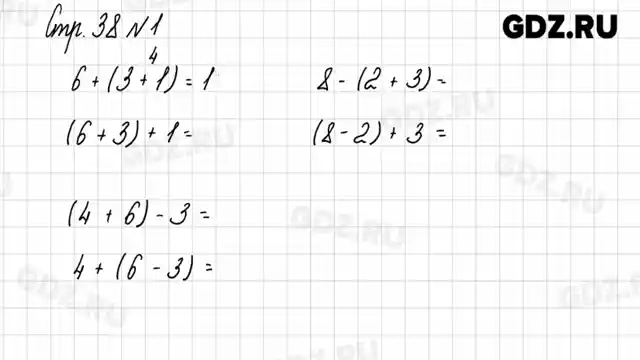
1. Прочитай записи и выполни действия.
6 + (3 + 1)
(6 + 3) + 1
8 - (2 + 3)
(8 - 2) + 3
(4 + 6) - 3
4 + (6 - 3)

2. Спиши, расставляя скобки так, чтобы равенства стали верными.
4 - 1 + 2=1
8 - 5 + 1 = 2
6 - 3 - 2 = 5
10 - 4 + 5 = 1

3. Запиши и вычисли.
1) К числу б прибавить разность чисел 14 и 5.
2) Из числа 18 вычесть сумму чисел 2 и 6.

4. Рассмотри рисунок и составь задачу по её решению.
1) 1 + 5 = 6 (ч.)
2) 6 - 2 = 4 (ч.)

Решебник 2023 / часть 1. страница / 38
ГДЗ по математике 2 класс Моро часть 1 - ответ страница 38, Решебник 2023
ГДЗ по фото
Решебник 2015 №1 / часть 1. страница / 38
ГДЗ по математике 2 класс Моро часть 1 - ответ страница 38, Решебник 2015 №1
ГДЗ по фото
ГДЗ по математике 2 класс Моро часть 1 - ответ страница 38, Решебник 2015 №1
ГДЗ по фото
Видеорешение / часть 1. страница / 38
Плееры:
Решебник 2015 №3 / часть 1. страница / 38
ГДЗ по математике 2 класс Моро часть 1 - ответ страница 38, Решебник 2015 №3
ГДЗ по фото
ГДЗ по математике 2 класс Моро часть 1 - ответ страница 38, Решебник 2015 №3
ГДЗ по фото
Решебник 2015 №4 / часть 1. страница / 38
ГДЗ по математике 2 класс Моро часть 1 - ответ страница 38, Решебник 2015 №4
ГДЗ по фото
ГДЗ по математике 2 класс Моро часть 1 - ответ страница 38, Решебник 2015 №4
ГДЗ по фото

Расскажите об ошибке

ГДЗ по математике 2 класс Моро часть 1 - ответ страница 38
Сообщение должно содержать от 10 до 250 символов
Спасибо! Ваше сообщение успешно отправлено!