Вопрос:
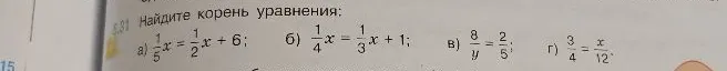
Найдите корень уравнения: а) 1/5x = 1/2x + 6; б) 1/4x = 1/3x + 1; в) 8/y = 2/5; г) 3/4 = x/12.
Ответ ассистента
Другие решения
Что ещё задавали пользователи
-
10. У мамы в шкафу стояло 40 чашек: 15 с красными цветами, 16 с синими, остальные с жёлтыми. Мама наливает чай в случайно выбранную чашку. Найди вероятность того, что это будет чашка с жёлтыми цветами.
Показать ответ -
16.1. Ребята рассмотрели клетку листа с помощью микроскопа. Напишите названия структур, которые обозначены на рисунке буквами А-В.
Показать ответ -
Определите тему и основную мысль текста. Озаглавьте текст.
Показать ответ -
Вставьте пропущенные буквы. Напишите слитно,раздельно, через дифиз
Показать ответ -
Task 2. Look and write the correct pronouns. 1. Have Tina and Mark got grey eyes? ...
Показать ответ -
7. Выполни деление с остатком и проверь. 57 : 4 99 : 2 47 : 7 69 : 22
Показать ответ -
Решите систему уравнений x - 4y = -16, 6x + 5y = -9.
Показать ответ -
На клетчатой бумаге изображен треугольник ABC. Во сколько раз отрезок AM короче отрезка CM?
Показать ответ -
103. Время выполнения
Показать ответ -
какую функцию выполняетт зкркало микроскопа
Показать ответ